Maths
Definizioni
Espressione matematica
Un'espressione matematica è un insieme di numeri legati da segni di operazioni matematiche, detti operatori matematici.
Funzione lineare
Funzione definita mediante polinomio di primo grado f(x) = xa +b, il cui grafico è una retta.
Funzione non lineare
Funzione definita mediante polinomio di grado superiore al primo, il cui grafico non è rappresentabile con una retta.
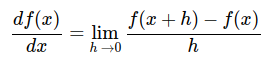
Derivata di una funzione f'(x)

Rappresenta il tasso di incremento/decremento di una funzione f(x) rispetto ad una variabile x; misura, cioè, di quanto cambia il valore della funzione al variare di un suo argomento x. Per effettuare tale misura si considera una variazione h molto piccola, infinitesimale.
Si dice anche che la derivata misura la crescita/decrescita che avrebbe f(x) in uno specifico punto, spostandosi di pochissimo rispetto al punto considerato, o, se vogliamo, misura la sensibilità di f(x) rispetto al variare di una sua variabile.
-
La f'(x) di una funzione f(x) nel punto x0 corrisponde alla pendenza della retta tangente al grafico di f(x) nel punto x0.
-
Se f'(x) esiste per ogni punto x della f(x) essa è, di fatto, una funzione che associa a ogni punto di f(x) proprio la derivata in quel punto.
Se f'(x) esiste per ogni punto x della f(x), quest'ultima è detta funzione derivabile
Derivata parziale di una funzione
si applica alle funzioni di più variabili.
La derivata parziale in un punto rispetto alla prima variabile di f(x,y) rappresenta la pendenza della retta tangente alla curva di f(x,y)
ottenuta intersecando il grafico di f con un piano passante per il punto considerato e parallelo al piano y = 0.
La derivata parziale di una f rispetto ad una variabile x, in un dato punto, si calcola derivando la f nella sola variabile x e lasciando tutte le altre sue variabili come costanti.
Gradiente di una funzione
Vettore che ha come componenti le derivate parziali della funzione.
Differenziazione automatica (Automatic Differentiation)
calcolo automatico delle derivate di una funzione fatto attraverso operazioni aritmetiche e funzioni elementari (esponenziale, trigonometriche etc.)
Vedi anche Differenziazione automatica
Funzione composta
applicazione di una funzione al risultato di un'altra funzione
Regola della catena o Chain Rule
Regola che permette di calcolare la derivata della funzione composta di due funzioni derivabili.
La derivata della funzione composta è il prodotto tra la derivata della funzione esterna, avente come argomento la funzione interna, per la derivata della funzione interna.
La formula è valida anche per funzioni di più variabili reali e per funzioni vettoriali.
La regola della catena permette di scomporre una derivata in una serie di derivate più semplici.