Implementing Backpropagation

Staged computation example

Introdurremo un calcolo a fasi (staged computation) della backpropagation di una funzione.
Difatti è utile scomporre la funzione in equazioni semplici, aiutandosi anche attraverso variabili intermedie di appoggio, per poter applicare la chain rule in modo semplice.

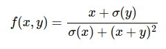
Esempio: Consideriamo la seguente funzione:

fun12

Vogliamo calcolarne i gradienti per gli input: x=3, y=-4.

proviamo a scomporla:

x = 3 # example values
y = -4

# forward pass
sigy = 1.0 / (1 + math.exp(-y)) # sigmoid in numerator   #(1)
num = x + sigy # numerator                               #(2)
sigx = 1.0 / (1 + math.exp(-x)) # sigmoid in denominator #(3)
xpy = x + y                                              #(4)
xpysqr = xpy**2                                          #(5)
den = sigx + xpysqr # denominator                        #(6)
invden = 1.0 / den                                       #(7)
f = num * invden # done!                                 #(8)               

e ragionando a ritroso, proviamo a calcolarne i gradienti e applicando la chain rule:

# backprop f = num * invden                              #(8) 
# derivate di semplice moltiplicazione
dnum = invden
dinvden = num

# backprop invden = 1.0 / den                            #(7)
# derivata di divisione = f'(x) 1/x = -1/x*2 
# e poi applico moltiplicazione di chain rule
dden = (-1/(den**2)) * dinvden

# backprop den = sigx + xpysqr (denominator)
# derivata di addizione 
dsigx = 1 * dden
dxpysqr = 1 * dden

# backprop xpysqr = xpy**2                               #(5)
# derivata di elevazione a potenza x**2 = 2x
dxpy = (2 * xpy) * dxpysqr

# xpy = x + y                                            #(4)
dx = 1 * dxpy
dy = 1 * dxpy

# sigx = 1.0 / (1 + math.exp(-x)) sigmoid in denominator #(3)
# x è coinvolta in 2 operazioni!,
# i gradienti vanno sommati!
dx += ((1 - sigx) * sigx) * dsigx

# num = x + sigy # numerator                             #(2)
dx+=  1.0 * dnum
dsygy = 1.0 * dnum

# sigy = 1.0 / (1 + math.exp(-y)) # sigmoid in numerator #(1)
dy += ((1 - sigy) * sigy) * dsigy